Dawno nie pisalem nic na tym blogu, nie zalezy mi na wybujalej grupie czytelnikow, w zasadzie pisze dla siebie, aby dac upust swoim emocjom i frustracjom.
Od mniej wiecej 2 lat jestem sam. Czy jest mi z tym dobrze? - Nie jest.
Ostatnio wzieło mnie na rozważania, mialem chyba z 7 nieudanych zwiazkow. Do tej pory nie wiem co bylo nie tak. Wiem tylko ze konczyly sie one zazwyczaj tragicznie. Tragedia ta polegala na tym, ze mialem tak bardzo dość, ze albo upijalem sie bezustanie albo szedlem na bok kiedy juz nie mialem sily dalej tego ciagnać. Dlaczego?
Sam nie moge sobie odpowiedziec na to pytanie, po prostu za bardzo kochałem, żeby znow probować cos tlumaczyć, kiedy każde tlumaczenie zmierza do kłotni, a kłotnia tylko szarga moje nerwy i potem musze patrzec na moja partnerke zacietrzewioną w sobie, ktore zachowuje sie jakbym nic dla niej nie znaczył.
Oczywiscie bylo też kilka takich zwiazkow, ktorych nie utrzymalem, bo byly dla mnie forma pocieszenia, te jednak nie konczyly sie klotniami, a raczej naturalnym wygaszeniem jakiejkolwiek interakcji na poziomie emocjonalnym.
Teraz chwile o mnie, mam 29lat, skonczona inżynieria chemiczna i procesowa na poziomie magisterskim, 4 lata doświadczenia i praktyk. Potem przez rok doktorat na zagranicznej uczelni, ktory zakonczyl sie niepowodzeniem, nie z mojej winy, co raczej za decyzją stakeholderów, którzy zmienili approach- przez co doktorat wydawal sie juz nie korelujacy z moją poprzednia sciezka kariery- stad decyzja o rezygnacji.
Studia robilem najpierw z motywacja, ze cos dadza, ze bedzie mozna wykorzystac w praktyce nabyta wiedze, potem juz z pasja, to co napoczatku bylo pod gorke zaczelo sie ukladać w spojna całość i zaczelo sprawiac przyjemność.
Od 4 lat nie mialem wakacji, nie mowiac o 1-tygodniowych wyjazdach na narty. Wszystkie wakacje poswiecalem robiac praktyki, aby miec lepszy start w kariere lub wykorzystywalem wypracowany urlop na przeprowadzke i zmiane firmy. W zasadzie od jakiegos czasu nic nie robie tylko programuje sam swoje zycie tak, aby sie w pewnie sposob ustawic.
Mysle ze kazdy facet tak robi, ma gdzies zakodowane podswiadomie, ze jest głownym zywicielem rodziny, zawsze biegal za mamutem, a teraz pozostala w glowie ta presja, ze to on bedzie wiecej dawał.
Ale nie o tym mialem pisać... Myslalem ostatnio o zwiazku, chcialbym sie osiedlić, gdzies miec swoje miejsce gdzie ma być zawsze milo, gdzie chce sie wracac po walce poza domem, gdzie moge odpoczac i mam przestrzen do zagospodarowania przez siebie.
Przez ostatnie kilka lat zmienialem miejsca zamieszkania 2-3 razy w ciagu roku- bardzo meczace fizycznie, ale nie tylko bo takze psychicznie- ciagle wyjscie ze strefy komfortu, regularny trening zaradnosci.
Natrafilem ostatnio na kilka artykulow na necie chcac bardziej zglebic czego tak naprawde chca ode mnie kobiety. Czytalem kilka ksiazek m.in popularnego Greya, o zwiazkach toksycznych i kilka roznych przygodowych ksiazek z cyklu "jak wyrywalem ekstra laski".
Zalogowalem sie tez na kilku portalach randkowych i zrobilem kilka eksperymentow. Chcac sprawdzic czy kobiety faktycznie "leca na kase"- spreparowalem kilka zdjec tak abym wygladal na ciekawego zyciem i bogatego ustawionego faceta.
To co teraz napisze moze bedzie przykre dla niektorych kobiet, ale przyznaje ze z kazdym kolejnym zwiazkiem mam coraz mniej checi, coraz bardzie mam wrazenie ze kobiety sa materialistycznymi pasozytami, że ich głowym celem jest "upolować męża, który jest ustawiony" aniżeli samemu sie dobrze ustawić w życiu.
Z kolei te kobiety, które juz sie ustawia w zyciu maja takie wymagania, które od razu mnie przekreślaja, powiniennem być zajebisty jak Lewandowski, zeby w ogóle moc z nimi porozmawiać. Po krotkim hej i kilku zdaniach konczy sie rozmowa, gdyż one tylko odpowadaja- jakby z grzecznosci, nie nawiazuja same kontaktu, nie pytaja, nie wychodza z inicjatywa. Oczywiscie do wiekszosci nie mam nawet dostepu bo juz na poczatku daja kosza. Nie wiem na co licza te ktore tylko odpowiadaja? Ze teraz ja je pochlone super tekstem, co ja w ogole mam pokazac? U zwierzat jest jakis taniec godowy, a tu nawet nie wiem co one chca uslyszec? Nikt mnie nie uczyl podrywania, przeczytalem kilka ksiazek o PUA i cos tam wiem, ale znowu podazanie jakims algorytmem i odhaczanie kolejnych punktow oraz trzymanie na sztuczno formy, ktora powoduje ze ona sie smieje czy zahowuje w konkretny dla mnie sposob jest manipulacja czlowieka, a poza tym czuje sie bardzo nieswojo musząc "grać Boguslawa Linde" wiedzac dodatkowo, że przecież jak bedziemy razem to bede inny.
Te, które nie sa zyciowo ustawione są chetne, ale nie maja dla mnie nic do zaoferowania, poza tym ze mysla ze seksem załatwia wszystko i beda sie tylko usmiechać. Przeciez my nie jestesmy jak maszyny do seksu, chociaz statystycznie wynika że najabardziej nam zalezy wlasnie na tym oraz
Ale to też nie ważne, bo przeciez wystarczy znaleźć jedna taka, które po prostu cie pokocha takiego jakim jesteś... Nie takie łatwe.
Czego wy kobiety naprawde chcecie? -Czytam, ze chcecie faceta zaradnego i zdecydowanego, ale ugodowego. Pracowitego, ale tez majacego duzo czasu dla partnerki. Zabawnego i powaznego. Silnego, ale nie mieśniaka, romantycznego i pragmatycznego....
Naprawde zajebisty zestaw przeciwienstw, ktore jak mniemam wynikaja z dwoch koncepcji zwiazku- starej opartej na podswiadomym rozdziale ról- meżczyzna zapewnia byt, kobieta- chroni dzieci ale też na nowoczenym partnerstwie- wszystko powinno byc dzielone po rowno.
Mialem kilka przypadkow, że wracajac do domu z pracy, zjebany jak pies, bo szef potrzebował szybko 4 rysunkow instalacji, szybkiego domowienia pewnych czesci i zbudowania algorytmu na pewne urządzenia procesowe, dostawałęm bure, że zamiast lezec na kanapie mógłbym odkurzyć, albo pojsc po zakupy, albo naprawic to i owo.
Tymczasem kiedy ona byla w pracy tego samego dnia pisala do mnie ciagle na fejsbooku o pierdolach co jej sie przydarzylo, na co odpowiadalem z grzecznosci (gdyby nie odpisywal to dostalbym awanture ze olewam), ale przeciez ona wiedziala ze jestem w pracy. Kiedy jestem w pracy to jestem w pracy. Kiedy jestem w domu to chce odpoczac. Kiedy wychodze na piwo to chce sie spotkać ze znajomymi i uzupelnić wlasne potrzeby kontaktu. "Zaraz, zaraz... z kim idziesz i gdzie i po co, ja ci nie wystarczam, powinienneś siedziec ze mna w domu....".
Kiedy wracam do domu to albo dostaje nowe zadania do wykonania albo mam sie nia zajac.
Po pierwsze czemu ona rozdaje te zadania i kto jest arbitrem co jest do zrobienia a co nie? oraz w jakim stopniu? Czy mycie za szafa jest jeszcze norma czy juz nie? A czy odkurzanie codziennie i mycie podlogi tez jest normalne?
Kazdy ma inne wyczucie, piekna i brudu oraz wizje odpoczynku.
Kiedy mam sie nia zajac to wychodzi na to, ze ja mam być kreatywny i wymyślać nowe miejsca lub nowe sposoby spedzenia wolnego czasu. Dlaczego ten obowiazek spoczywa na mezczyznie? ... Bo to on jest glowa rodziny i o kobiety trzeba dbać, zeby nie uschły jak ta róża z malego ksiecia...
A moze to ja jestem ta róża...
Dlaczego, ja musze sie o nia starać wiecznie całe juz zycie o nia zabiegać? W czym ona jest taka dobra, ze musze to robic i na kazdym kroku pokazywać? Przeciez to ze zabierdalam jak wol, kiedy mam chwile to jeszcze sie doksztalcam, pracuje w inzynierii, znam 3 jezyki i codziennie walcze o lepszy status materialny to malo. Ze znam sie na geopolityce, sociologii tlumu i mam od chuja doswiadczen tych tematach nie czyni mnie interesujacym mezczyzna.
Dla niej najwazniejsze sa kwiaty. Dlaczego nie dajesz mi kwiatow? Moglbys kiedys cos mi dać tak od siebie niespodziewanie? No ale przeciez codziennie jestem, rozmawiamy, daje ci wsparcie, daje dobre rady, otwieram pewne horyzonty, jestem cieply, wspolczujacy i troskliwy, ale to jednak za malo.
W koncu mi sie wyrwalo... wiesz co, dobra... zapisze sobie w kalendarzu i srednio co dwa miechy przyniose ci te kwiaty... Awantura na maksa.
Ciagle sie powtarzaja te same schematy, jakbym musial ciagle cos komus udowadniać, a ja mam po prostu dosyć. Jak kocham to kurwa kocham. Nie chce zeby ciagle ktos podważal to czy kocham juz dobrze czy jeszcze za malo. To ze sie staram widac po moich czynach, ze jestem na kazde zawolanie pomocny, ale ze mam inne przywary, ze lubie od czasu do czasu zaoszczedzic dzien na sprzataniu, albo ze cie nie zabiore gdzies, bo mam ciekawy artykul do przczytania... dla ciebie to robie... Moje zdobywanie doswiadczen zaprocentuje, to jest po to abym byl bardziej swiadomy obecnej sytuacji finansowo-ekonomicznej, aby sie nie okazalo ze na przyklad podniesli podatek i zaraz nie mamy oszczednosci. Potem kobiety sie zastanawiaja, skad ci mezczyzni to wiedza jak sie to robi i tamto, albo gdzie jak co zalatwić. Bo my po prostu regularnie zbieramy i analizujemy informacje.
Przykro mi mowić, ale niestety nie widze tego po drugiej stronie. Zazwyczaj jak juz dostanie prace, to uwaza ze ma wszystko klepniete, nie poszuka lepszej, nie rozglada sie, dla niej zyciem sa sprawy spoleczne... ile mam kolegow i kolezanek, kto co gdzie zrobil z kim... kto do cholery czyta te wszystkie kolorowe pisemka... i czy on mnie juz kocha czy jeszcze nie, a Marysia dostala ostatnio super bukiet i sie chwalila, moj facet mi tego nie daje, on mnie chyba nie kocha... i tak w kolko. Albo insta, fejsik i inne tego typu zabawki, checia dowartosciowania swojej osoby przez komentarze innych, sweet-emotki, ladowanie sobie baterii poprzez adoracje innych.
Mam wraznie, ze dla kobiet nie istenije prawdziwy rozwoj... chyba ze taki ustawiany... zrobie sobie fote jak czytam ksiazke i pochwale sie innym. Albo jak zrobic super paznokcie i oczywicie jaki powinnien byc ten idealny mezczyzna w idealnym zwiazku.
Dlaczego kobiety tak bardzo chca uplastyczniac swojego mezczyzne? Dlaczego nie moga zaakceptowac go takim jakiego go poznaly? Przeciez to nie zabawka ze mozna ja nakrecac, zwracac ciagle uwage i myslec ze bedzie wykonywac co chce.
Najgorsze jest w tym wszytkim to, ze kiedy w koncu facet powie ze tego nie zrobi, to wtedy sie zaczyna prawdziwe NLP i manipulacja emocjonalna, zamykanie sie w sobie, brak odbioru, mowienie ze jej nie slucham, ze mi nie zalezy, nie kocham, fochy na seks itp. Wtedy zaczyna sie spotykac z kolezankami i przedstawiac mnie w chujowym swietle.
Nigdy nie mialem wymagan do kobiety, zalezalo mi tylko aby bylo z kim ciekawie porozmawiac i na seksie. Nigdy nie oczekiwalem zbyt wiele, akceptowalem ja taka jaka jest.
Ale chyba zamienie sie w zimnego skurwysyna, ktory rzuca tylko wymaganiami i rozlicza po pewnym czasie, potem tylko bede podejmowal decyzje czy przeszla test czy nie.
Bo juz naprawde mam dosc tej dziecinady, jak ktos chce budować zwiazek i zycie to musi najpierw zaakceptować, ze życie nie sklada sie z zachcianek i ciaglym rozpieszczaniu sie, a ciezkej kurewsko mozolnej pracy, aby cos zbudować, odlozyć, poustawiac we wlasciwej kolejnosci, przez co trzeba jeszcze zdobyć duzo wiedzy i doswiadczen, niekiedy nie swoich a korzystac z doswiadczen innych.
No coż, ale w obecnym swiecie na przekroju podejsc... kobiety jeszcze chca tych meskich, wychodzacych z inicjatywa mezczyzn, ale juz chca miec wolność, aby być niezależnymi i po rowno rozdzielać wszystkie role zwizkowe, chca partnerstwa na kazdym kroku, czyli krotko mowiac mamy byc tacy jak kiedys, ale jednoczesnie umieć to co one i robic to w polowie za nie.
Ja tak nie potrafie, albo partner i wtedy nie ma przebacz, bede duzo wymagal, bede przy tym dosadny, opierdalal na kazdym kroku i nie mial wspolczucia... po to aby wyegzekwowac performance, albo bede jak kiedys mezczyzna, ktorego kobieta zapierdala w domu i to ona dba o mezczyzne, a ona przychodzi z placzem, czy troska bede czuly i troskliwym. Dlaczego, bo w partnerstwie... bo w obecnych realiach gdy ja przyjde z placzem i troska to bede nie-meski, a gdy nie przyjde i sam zdusze w sobie problemy to nie bedzie partnerstwa... Proste.
cdn
SciVortexAnalysis
http://chomikuj.pl/rrozz
wtorek, 28 maja 2019
środa, 19 lipca 2017
Back to developing algotihm for wet stagnant bed thermal conductivity. Yet found well advised correlation called Zehner-Bauer-Schlunder model.
http://hedhme.com/index/?link_id=12165&article_id=200
This is so massive - allmost 30sets of equations joining moisture content, porsity, free air voids remaining both in macropores- what is the general structure of the solid, but also in micropores- those understood as air voids in the bed itself- connected with bulk density. Very logically build one, I mean as a logiacal way of approximating in the all directions effects of condutivity given by each of the components additively, even including diffusion effect in pores ;)
However, practically the possible standard deviation is +-30%
What the hell??
I know it is solid- but Are there any better models as this follows on 90ties?
Now from my knowledge and experience I know that boundary conditions are moisture content of 0% and 100%, temperatures for both air and material ranging from even -30 to 150 deg Celsius.
Yet remains the necessity of finding internal temperature between gas core and core of the solid to precisly give all the details to declare the thermal conductivity by diffusion.
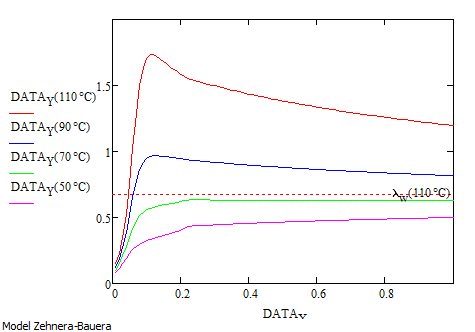
Here's a plot of this value with temperature under the whole range of the dryers work.
it rises even to 80Watts/m*K!
Someone could think it is maybe not important, but the temerature during drying rises and this is an exponential function of temperature hidden in the exponential behavior of vapor pressure. First equation is an approximation of diffision coefficient of saturated pressure. The next one is Schlunder and Tsotsats' derived model available here
http://www.sciencedirect.com/science/article/pii/0255270186800216
This is very important so to precisly give the temperature because a mistake of 10 degrees can radically change final value of thermal conductivty of the bed!
Heres's a simplified plot of the model not including the model of the internal temperature. Here belon the interal temperature if needed in Schulners diffusive model and other is simplified to the average of gas and solid temperature. The plot represents the wet bed thermal conductivity vs moisture content of the solid. This may be a cause for step temperature rise at the end of drying.
Gas temperature here is very low 10deg. The family of curves is marked with colours representing different material temperature
Especailly this diffusion process takes place from the middle of the solid towards the surface. This is imporant to take the the average of both temperatures or use even better estimations.
So the surface temperature is needed?
I've done this setting the heat balance equations on the surface and it is:
Latent heat of vaporized water- Heat transfered to air by convection= Heat transfered by sum of conduction, convection and condution of dryers wall as well as convection on the other side of the wall.
It is possible to easy calculate but the numerical calculations must be done as some models need to use vapour pressure- and this is an exponential function, unfortunatelly.
Some all in all the calculation for thermal conduction of stagnant packed bed lasts a about 2 second, but if u want to integated over whole range precisly the system would be stiff and the grid density is very important as well. So is really prolong the calculations.
Is it worth to recorelate thermal conduction as a function of temperature before each step of the integrator?
#stagnant_packed_beds
http://hedhme.com/index/?link_id=12165&article_id=200
This is so massive - allmost 30sets of equations joining moisture content, porsity, free air voids remaining both in macropores- what is the general structure of the solid, but also in micropores- those understood as air voids in the bed itself- connected with bulk density. Very logically build one, I mean as a logiacal way of approximating in the all directions effects of condutivity given by each of the components additively, even including diffusion effect in pores ;)
However, practically the possible standard deviation is +-30%
What the hell??
I know it is solid- but Are there any better models as this follows on 90ties?
Now from my knowledge and experience I know that boundary conditions are moisture content of 0% and 100%, temperatures for both air and material ranging from even -30 to 150 deg Celsius.
Yet remains the necessity of finding internal temperature between gas core and core of the solid to precisly give all the details to declare the thermal conductivity by diffusion.
Here's a plot of this value with temperature under the whole range of the dryers work.
it rises even to 80Watts/m*K!
http://www.sciencedirect.com/science/article/pii/0255270186800216
This is very important so to precisly give the temperature because a mistake of 10 degrees can radically change final value of thermal conductivty of the bed!
Heres's a simplified plot of the model not including the model of the internal temperature. Here belon the interal temperature if needed in Schulners diffusive model and other is simplified to the average of gas and solid temperature. The plot represents the wet bed thermal conductivity vs moisture content of the solid. This may be a cause for step temperature rise at the end of drying.
Gas temperature here is very low 10deg. The family of curves is marked with colours representing different material temperature
Especailly this diffusion process takes place from the middle of the solid towards the surface. This is imporant to take the the average of both temperatures or use even better estimations.
So the surface temperature is needed?
I've done this setting the heat balance equations on the surface and it is:
Latent heat of vaporized water- Heat transfered to air by convection= Heat transfered by sum of conduction, convection and condution of dryers wall as well as convection on the other side of the wall.
It is possible to easy calculate but the numerical calculations must be done as some models need to use vapour pressure- and this is an exponential function, unfortunatelly.
Some all in all the calculation for thermal conduction of stagnant packed bed lasts a about 2 second, but if u want to integated over whole range precisly the system would be stiff and the grid density is very important as well. So is really prolong the calculations.
Is it worth to recorelate thermal conduction as a function of temperature before each step of the integrator?
#stagnant_packed_beds
niedziela, 2 września 2012
Dyfuzyjność- przejściowe dywagacje...
Wiemy, że istnieją różne rodzaje dyfuzyjności: Ficka i SM. Wiemy, że łączy je czynnik termodynamiczny, który zależy głównie od energii Gibbsa... ta z kolei zależy od odstępstwa układu od stanu równowagi termodynamicznej. Wiemy, także że dyfuzyjność AB w układach wieloskładnikowych nie jest równa dyfuzyjności AB w układach binarnych, ale AB w binarnych jest równa BA. A Co z tego wszystkeigo w praktyce możnemy się dowiedzieć, skoro nie znamy wartości dyfuzyjnościi. Jak ją przewidzieć? Pewne zarysy tworzą korelacje. Korelacja Fullera dla gazów:
Gdzie:
Natomiast parametr V jest dyfuzyjną molową objętością cząsteczki dyfuzyjnej obliczaną poprzez zsumowanie wszystkich molowych objętości dyfuzyjnych pojedynczychch atomów lub układów atomów. Te objętości dyfuzyjne przedstawia tabela:
Sprawa dla cieczy jednak nie jest taka prosta. Wymaga ona obliczenia dyfuzyjności w warunkach nieskończonego rozcieńczenia, co odpowiada hipotetycznej dyfuzyjności dla energii Gibbsa bliskiej zeru. Taką korelację zapoczątkował Wilke i Chang, a rozwinęło wielu innych autorów dla różncych przypadków: polarności lub niepolarności składników.
A następnie Vignes skorelował ją z wlaściwym współczynnikiem dyfuzyjności
Ech... co by to było gdyby nie emipiryzm.
Empiryzm nie myśli dlaczego.... empiryzm myśli w jakim celu...
Gdzie:
Natomiast parametr V jest dyfuzyjną molową objętością cząsteczki dyfuzyjnej obliczaną poprzez zsumowanie wszystkich molowych objętości dyfuzyjnych pojedynczychch atomów lub układów atomów. Te objętości dyfuzyjne przedstawia tabela:
Sprawa dla cieczy jednak nie jest taka prosta. Wymaga ona obliczenia dyfuzyjności w warunkach nieskończonego rozcieńczenia, co odpowiada hipotetycznej dyfuzyjności dla energii Gibbsa bliskiej zeru. Taką korelację zapoczątkował Wilke i Chang, a rozwinęło wielu innych autorów dla różncych przypadków: polarności lub niepolarności składników.
A następnie Vignes skorelował ją z wlaściwym współczynnikiem dyfuzyjności
Ech... co by to było gdyby nie emipiryzm.
Empiryzm nie myśli dlaczego.... empiryzm myśli w jakim celu...
piątek, 31 sierpnia 2012
Równanie Ficka- Prawa Dyfuzji
Postanowiłem wyprowadzić śladami pana Adolfa Ficka jego prawa dyfuzji, aby lepiej zrozumieć ten temat.
Natrafiłem na pewien artykuł z książki, który nieco przerobiłem i uprościłem na "swój język". Oto cały logiczny ciąg.
Mieszaninę płynów podczas zjawiska dyfuzji, jak zresztą każdy płyn można opisać posługując się tzw. sześcianem różniczkowym płynu. Jest to pojęcie dość abstrakcyjne, jednak, takowa mikroskopowa analiza pozwala na wyjaśnienie makroskopowych zależności. Jeżeli bowem układ jest różniczkowy to zmiany, posługując się językiem potocznym, są na tyle małe, że praktycznie nie zaburzają stabilności tego układu i można rozpocząć rozważania nad nim, bo warunki są pseudoustalone. Innymi słowy, przy tak mikrospokopwej analizie nic sie nie dzieje... w makroświecie jednak zachodza poważne zmiany.
Jednak do rzeczy...
... Modelowy sześcian rożniczkowy składa się z trzech ścian o wymiarach geometrycznych odpowiednio:
- dla ścian pionowych: 2dy
- dla ścian poziomych (w płaszczyśnie ekranu): 2dy
- dla ścian ukośnych (wgłąb ekranu): 2dz
Sześcian ten ma wierzchołki odpowiednio oznaczone ABCD oraz A`B`C`D`. Jeżeli w sześcianie tym zachodzi dyfuzja nalezy rozpatrzeć wszystkie, siły dyfuzyjne działające na każdą ze ścian sześcianu, a w zasadzie wszystkie zewnętrzne i wewnętrzne zjawiska zmieniające skład w układzie.
Rozpatrując o zmiany w osi x, możemy zapisać strumień dyfuzyjny masy dopływający do ściany ABCD:
Przez w, rozumiemy prędkość masową dyfuzji w kmol/m^2*s. Prędkość ta jest uniwersalna ponieważ jest niezależna od powierzchni przepływu substancji dyfundujących oraz czasu dyfuzji. Ponieważ posługujemy się różniczkową prędkością masową, jej zmiana w czasie praktycznie nie następuje. Prędkość ta wymnożona przez powierzchnie dyfuzyjną będzie miała wymiar strumienia molowego, a w zasadzie molowego strumienia dyfuzji.
Z drugiej strony sześcianu dyfuzyjny strumień molowy wygląda następująco:
Przechodzi on przez płaszczyznę A`B`C`D`.
Jak widać strumień dyfuzyjny przechodząc przez sześcian płynu, zostawia "nieco" masy w jego środku (Właśnie to nazywamy dyfuzją). Można zatem zapisać prawo bilansu i zobaczyć "ile" strumienia zostało w środku. Wiadomo, że różnice między dopływem, a odpływem stanowi akumulacja:
Występowanie różniczki niezupełnej wskazuje uważenemu czytelnikowi, że jest ona tylko składową na pewnej płaszczyźnie. Logicznym jest oczywiście, że występują jeszcze dwa strumienie dyfuzyjne działajace na każdą płaszczyznę. Sumarycznie dostajemy trzy równania na każdą z płaszczyzn:
W tym momencie, zaczyna się zupełnie nowe podejście do rozważań i wprowadzamy dodstkową wiadomość która spaja wszytko w jedną całość. Mianowicie, należy zauważyć że w omawianym sześcianie skutkiem zmiany strumienia dyfuzyjnego na długości jest zmiana stężenia w czasie. Poza tymi zmianami na czterech elementach czasoprzestrzeni nic więcej się nie zmiania. Zatem bilansując zmiany w układzie można zapisać
Wynika z tego, że pochodna stężenia po czasie jest proporsjonalna do ujemnego gradientu prędkości masowych po wszystkich wymiarach przestrzennych.
Założenie teorii Ficka opiera sie na proporcjonalności prędkości masowej w każdej z płaszczyzn do ujemnego gradientu stężenia po czasie.
Po uwzględnioniu tej zależności w poprzednim wzorze, otrzymujemy:
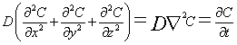
Jest to najbardziej ogólna postać prawa Ficka. Uwzględnia ona zmienność strumieni dyfuzyjnych, jak również zmienność stałej dyfuzji (stała dyfuzji może być funkcją x,y,z oraz stężenia), a także dyfuzję we wszystkich płaszczyznach. Kolejne przekształcenia doprowadzają nas do postaci skróconych i pewnych szczególnych przypadków:
Następująca postać, zakładająca stałą dyfuzyjność z czasem i wymiarami geometrycznymi. W praktyce oznacza to homogeniczność składu mieszaniny dyfuzyjnej.
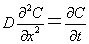
Kolejne uproszczenie polega na założeniu, że dyfuzja zachodzi tylko w jednej płaszczyźnie. Prowadzi to do wzoru, który jest powszechnie znany jako drugie prawo dyfuzji Ficka:
Jeżeli natomiast założyć, że prędkość masowa dyfuzji (strumień dyfuzyjny) jest stały w czasie, czyli że rozkład stężenia na drodze dyfuzji jest niezmienny, w trakcie trwania dyfuzji, otrzymujemy:
Co po scałkowaniu nazywane potocznie jest pierwszym prawem Ficka.
Natrafiłem na pewien artykuł z książki, który nieco przerobiłem i uprościłem na "swój język". Oto cały logiczny ciąg.
Mieszaninę płynów podczas zjawiska dyfuzji, jak zresztą każdy płyn można opisać posługując się tzw. sześcianem różniczkowym płynu. Jest to pojęcie dość abstrakcyjne, jednak, takowa mikroskopowa analiza pozwala na wyjaśnienie makroskopowych zależności. Jeżeli bowem układ jest różniczkowy to zmiany, posługując się językiem potocznym, są na tyle małe, że praktycznie nie zaburzają stabilności tego układu i można rozpocząć rozważania nad nim, bo warunki są pseudoustalone. Innymi słowy, przy tak mikrospokopwej analizie nic sie nie dzieje... w makroświecie jednak zachodza poważne zmiany.
Jednak do rzeczy...
... Modelowy sześcian rożniczkowy składa się z trzech ścian o wymiarach geometrycznych odpowiednio:
- dla ścian pionowych: 2dy
- dla ścian poziomych (w płaszczyśnie ekranu): 2dy
- dla ścian ukośnych (wgłąb ekranu): 2dz
Sześcian ten ma wierzchołki odpowiednio oznaczone ABCD oraz A`B`C`D`. Jeżeli w sześcianie tym zachodzi dyfuzja nalezy rozpatrzeć wszystkie, siły dyfuzyjne działające na każdą ze ścian sześcianu, a w zasadzie wszystkie zewnętrzne i wewnętrzne zjawiska zmieniające skład w układzie.
Rozpatrując o zmiany w osi x, możemy zapisać strumień dyfuzyjny masy dopływający do ściany ABCD:
Przez w, rozumiemy prędkość masową dyfuzji w kmol/m^2*s. Prędkość ta jest uniwersalna ponieważ jest niezależna od powierzchni przepływu substancji dyfundujących oraz czasu dyfuzji. Ponieważ posługujemy się różniczkową prędkością masową, jej zmiana w czasie praktycznie nie następuje. Prędkość ta wymnożona przez powierzchnie dyfuzyjną będzie miała wymiar strumienia molowego, a w zasadzie molowego strumienia dyfuzji.
Z drugiej strony sześcianu dyfuzyjny strumień molowy wygląda następująco:
Przechodzi on przez płaszczyznę A`B`C`D`.
Jak widać strumień dyfuzyjny przechodząc przez sześcian płynu, zostawia "nieco" masy w jego środku (Właśnie to nazywamy dyfuzją). Można zatem zapisać prawo bilansu i zobaczyć "ile" strumienia zostało w środku. Wiadomo, że różnice między dopływem, a odpływem stanowi akumulacja:
Występowanie różniczki niezupełnej wskazuje uważenemu czytelnikowi, że jest ona tylko składową na pewnej płaszczyźnie. Logicznym jest oczywiście, że występują jeszcze dwa strumienie dyfuzyjne działajace na każdą płaszczyznę. Sumarycznie dostajemy trzy równania na każdą z płaszczyzn:
W tym momencie, zaczyna się zupełnie nowe podejście do rozważań i wprowadzamy dodstkową wiadomość która spaja wszytko w jedną całość. Mianowicie, należy zauważyć że w omawianym sześcianie skutkiem zmiany strumienia dyfuzyjnego na długości jest zmiana stężenia w czasie. Poza tymi zmianami na czterech elementach czasoprzestrzeni nic więcej się nie zmiania. Zatem bilansując zmiany w układzie można zapisać
Wynika z tego, że pochodna stężenia po czasie jest proporsjonalna do ujemnego gradientu prędkości masowych po wszystkich wymiarach przestrzennych.
Założenie teorii Ficka opiera sie na proporcjonalności prędkości masowej w każdej z płaszczyzn do ujemnego gradientu stężenia po czasie.
Po uwzględnioniu tej zależności w poprzednim wzorze, otrzymujemy:
Jest to najbardziej ogólna postać prawa Ficka. Uwzględnia ona zmienność strumieni dyfuzyjnych, jak również zmienność stałej dyfuzji (stała dyfuzji może być funkcją x,y,z oraz stężenia), a także dyfuzję we wszystkich płaszczyznach. Kolejne przekształcenia doprowadzają nas do postaci skróconych i pewnych szczególnych przypadków:
Następująca postać, zakładająca stałą dyfuzyjność z czasem i wymiarami geometrycznymi. W praktyce oznacza to homogeniczność składu mieszaniny dyfuzyjnej.
Kolejne uproszczenie polega na założeniu, że dyfuzja zachodzi tylko w jednej płaszczyźnie. Prowadzi to do wzoru, który jest powszechnie znany jako drugie prawo dyfuzji Ficka:
Jeżeli natomiast założyć, że prędkość masowa dyfuzji (strumień dyfuzyjny) jest stały w czasie, czyli że rozkład stężenia na drodze dyfuzji jest niezmienny, w trakcie trwania dyfuzji, otrzymujemy:
Co po scałkowaniu nazywane potocznie jest pierwszym prawem Ficka.
piątek, 24 sierpnia 2012
Problem podstawiania w Mathcadzie/ The matter of substitution in Mathcad
Najpierw definiujemy daną zmienną, a następnie poniżej wybieramy explicit dla tej tej samej zdefiniowanej zmiennej. Składnia explicit'a jest następująca: najpierw piszemy symbol zdefiniowanej zmiennej, następnie wybieramy z palety symbolics słowo kluczowe explicit, dajemy przecinek, a po przecinku wszystkie zmienne pod które ma nastąpić podstawienie. Schemat jest następujący. Jeżeli pod zmienną są inne zmienne wcześniej definiowane to mathcad bedzie podstawiał, tylko te zmienne które są zdefiniowane po explicit. Działa to w ten sposób, że pod Prandtla zdefiniowanego w ty arkuszu po słowie explicit trzeba koniecznie ponowić symbol prandta. Jeżeli bedzie to jedyny keyword po explicit mathcad zwroci definicje prandtla, jeżeli dalej bedziemy wpisywać zmienne z samej definicji Prandtla to Mathcad wyświetli ich definicje. Poprzez słowo definicja, mam na mysli zarówno wartość liczbową jak i sam wzór.
Jak widać na pierwszym screenie wartość współczynnika przewodzenia ciepła nie została podstawiona właściwie. Zdarza się to dość często, mimo iż wcześniej ją obliczaliśmy. Moje rozwiązanie problemu przedstawia rysunek numer 2. Ponieważ boczne strony arkusza nie są przewidziane do druku wykonuje tam tak zwaną redefinicję zmiennych. Redefinicja współczynnika przewodzenia ciepła musi znajdować się przed samą definicją Prandtla, aby explicit mógł zrozumieć, że ma podstawić wartość współczynnika a nie wzór. Stąd, piszemy symbol współczynnika przewodzenia ciepla, podstaw...znów symbol współczynnika przewodzenia ciepła i KONIECZNIE "zwróć wartość". Całość jak już powiedziałem musi się znajdować przed definicją Prandtla. Jeżeli więcej niż jedna zmienna jest niewłaściwie podstawiana trzeba zrobić zabieg jej redefinicji ponownie. Przyczyn różnego podstawiania możę być wiele i wynikają one z wcześniejszych linijek arkusza. Ogólnie jest tak, że w forumule explicit mathcad do podstawienia pobiera ostatnią formułę definicji. Jeżeli definicja nie będzie zawierała na końcu zwrócenia wyniku mathcad za każdym razem będzie pobierał całą formułę. Jeżeli będzie wynik to wstawia go od razu.
Po kliknięciu prawym klaiwszem myszy na słowo kluczowe explicit otwiera nam się menu rozwijane, w którym możemy wybrac opcje przedstawiania całego wyrażenia przez mathcada. Do wyboru mamy Hide Keyword, czyli ukrywanie słowa kluczowego explicit i wszystkich zmiennych do których się podstawia (tzw. modifiers). Można także ukryć lewą stonę przed strzałką czyli w tym przypadku definicję Prandtla wybierając opcje Hide left-hand side. A w opcja "view evaluation as" dokonujemy wyboru wyświetlania znaku wskazującego wynik podstawienia: strzałka, znak równości lub opcja standardowa tak jak zdefiniowano w opcjach arkusza (tak jest u mnie). Z tego co mi wiadomo nie da się przedstawić jednostek w postaci ułamków zwykłych lub pominąć ich podstawianie. Można oczywiście obliczenia prowadzić bez jednostek mając na uwadze operacji na jednostkach podstawowych SI. PTC nie wpadło chyba jeszcze na pomysł, że można byłoby osobno traktować jednostki i osobno wartości liczbowe w arkuszu, wtedy dużo rzeczy było by prostszych.
Jak widać na pierwszym screenie wartość współczynnika przewodzenia ciepła nie została podstawiona właściwie. Zdarza się to dość często, mimo iż wcześniej ją obliczaliśmy. Moje rozwiązanie problemu przedstawia rysunek numer 2. Ponieważ boczne strony arkusza nie są przewidziane do druku wykonuje tam tak zwaną redefinicję zmiennych. Redefinicja współczynnika przewodzenia ciepła musi znajdować się przed samą definicją Prandtla, aby explicit mógł zrozumieć, że ma podstawić wartość współczynnika a nie wzór. Stąd, piszemy symbol współczynnika przewodzenia ciepla, podstaw...znów symbol współczynnika przewodzenia ciepła i KONIECZNIE "zwróć wartość". Całość jak już powiedziałem musi się znajdować przed definicją Prandtla. Jeżeli więcej niż jedna zmienna jest niewłaściwie podstawiana trzeba zrobić zabieg jej redefinicji ponownie. Przyczyn różnego podstawiania możę być wiele i wynikają one z wcześniejszych linijek arkusza. Ogólnie jest tak, że w forumule explicit mathcad do podstawienia pobiera ostatnią formułę definicji. Jeżeli definicja nie będzie zawierała na końcu zwrócenia wyniku mathcad za każdym razem będzie pobierał całą formułę. Jeżeli będzie wynik to wstawia go od razu.
Po kliknięciu prawym klaiwszem myszy na słowo kluczowe explicit otwiera nam się menu rozwijane, w którym możemy wybrac opcje przedstawiania całego wyrażenia przez mathcada. Do wyboru mamy Hide Keyword, czyli ukrywanie słowa kluczowego explicit i wszystkich zmiennych do których się podstawia (tzw. modifiers). Można także ukryć lewą stonę przed strzałką czyli w tym przypadku definicję Prandtla wybierając opcje Hide left-hand side. A w opcja "view evaluation as" dokonujemy wyboru wyświetlania znaku wskazującego wynik podstawienia: strzałka, znak równości lub opcja standardowa tak jak zdefiniowano w opcjach arkusza (tak jest u mnie). Z tego co mi wiadomo nie da się przedstawić jednostek w postaci ułamków zwykłych lub pominąć ich podstawianie. Można oczywiście obliczenia prowadzić bez jednostek mając na uwadze operacji na jednostkach podstawowych SI. PTC nie wpadło chyba jeszcze na pomysł, że można byłoby osobno traktować jednostki i osobno wartości liczbowe w arkuszu, wtedy dużo rzeczy było by prostszych.
sobota, 5 maja 2012
Chemical Engineering in use of Mathcad
I had been working on some projects of chemical reactors, heat exchangers, fractional distilation comlumns and some other interesting questions. Every time calculating in mathcad worksheet I've been struggling the problem of calculation process cutoff. The cause was my obligation to define the sizes of my vessel by writing it down to the worksheet from the standard.
Since the calculation are correct, the stiff definition doesn't provide any mistake. However, while the guideliness are changed, the definition from a standard needs to be changed, as well. As for a couple of sizes it doesn't supply you with any problems, but when there is more the one vessel`s sizes to be selected and your calculation appear to be incorrect for some omission, for example, the stiff definition becomes really tedious. This motivated my write some programs to automate my worksheet, what not only gives me way to avoid the mistakes and speed up my work, but also check the other conditions at which the whole vessel could work.
The other issue engineers have to face is the chemical properties problem. Throughout the most of enterprises in chemical engineering the designers have to calculate the transport issues, heat and mass transfer. For those problems the knowledge of transport properties (as viscosity, density), heat transfer properties (as heat cond. coefficient, heat capacity), mass transfer (mass diffusivities and so on) is required. Well, although not all the data of course is available in the interactive tables online, there are some exceptions. Knovel library gives a lot of raw material in Carl Yaws's books. With a little time and fancy, you can copy it to excel or mathcad, and write some programes to call down the appropriate data. This short database saves your time and simplifies the hole worksheet notation.
Since the calculation are correct, the stiff definition doesn't provide any mistake. However, while the guideliness are changed, the definition from a standard needs to be changed, as well. As for a couple of sizes it doesn't supply you with any problems, but when there is more the one vessel`s sizes to be selected and your calculation appear to be incorrect for some omission, for example, the stiff definition becomes really tedious. This motivated my write some programs to automate my worksheet, what not only gives me way to avoid the mistakes and speed up my work, but also check the other conditions at which the whole vessel could work.
The other issue engineers have to face is the chemical properties problem. Throughout the most of enterprises in chemical engineering the designers have to calculate the transport issues, heat and mass transfer. For those problems the knowledge of transport properties (as viscosity, density), heat transfer properties (as heat cond. coefficient, heat capacity), mass transfer (mass diffusivities and so on) is required. Well, although not all the data of course is available in the interactive tables online, there are some exceptions. Knovel library gives a lot of raw material in Carl Yaws's books. With a little time and fancy, you can copy it to excel or mathcad, and write some programes to call down the appropriate data. This short database saves your time and simplifies the hole worksheet notation.
czwartek, 28 maja 2009
Burning or oxideizing?
Some of you, probably, misunderstand the word of burning at all. In my point of view, a men should know what he is speaking with. So, what is the burning overally? Does burning equals flamming? What is the proper definition of it? I hope, some of you do know the approximate definition of it. It is usually taken for the rapid proccess of oxideizing. Huh, that's truth, but it poses a forward: what the rapid proccess really is?
Pyrotechnics is the part od science established decades ago in ancients. They claimed that it is a state of fire-rising. For now it's rather used in army for military tactical strikes. The most tackling problem supposedly is the problem of controling the way that masses of pyrotechnical mixtures are being oxidized. So the first matter to inquiry should be the matter of burning in all. As we said, burning is the oxidizing proccess. Oxideizing, furthermore, means the process of rising the oxidation state. That's of course a metaforic meaning of the quantity of electons in particular atom of the element or in whole molecule (ions for instance). So, one is hardly stated. Burning is the oxidation procces in redox meaning because, for expample, not only the molecules with oxide built in the structure have the oxidative features. It can be every element that has a potential to donate electrons to say that it has oxidative features so that it would be a redox procces when it goes with the reductive one. Anyways, I am only tring to conjure up the image of how divierse the burning proccess can be. But, where is the difference between the slow and rapid oxdation? It stays in some visual traits. While burning, there are two main sferes that can be distingushed. One is the sfere of the products of this redox process with usually highly unstable sfere of visual element into, another one is the one where the unreacted substances still remain. Moreover, these two sferes differ also in temperature itself. It is also worth to notice that those two do not differ with the pressure. If so, it would be classified as a explosion. But that would be in another topic...
Cheers.
Subskrybuj:
Komentarze (Atom)



















